• Предмет: Алгебра
  • Автор: EmiliaRomagna
  • Вопрос задан 7 лет назад

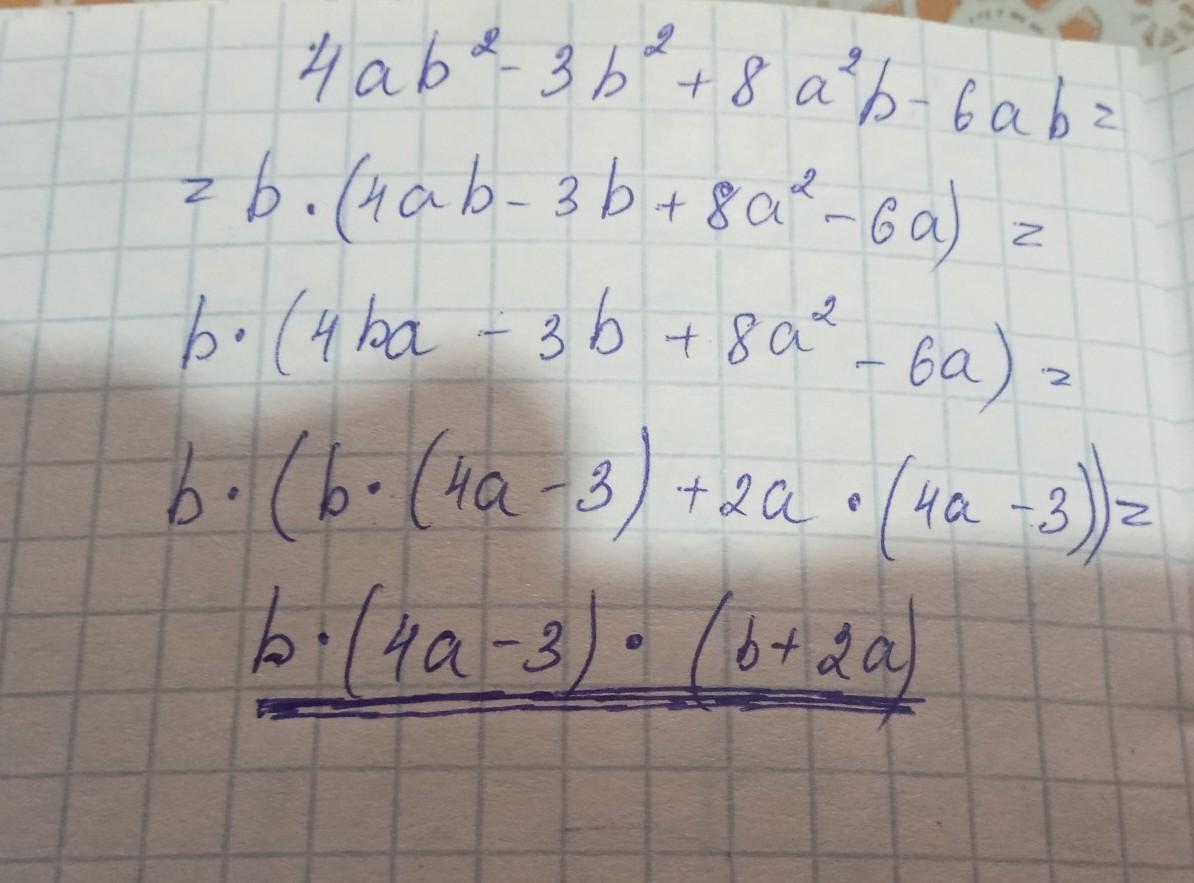
4) Разложите многочлен на множители: 4аb² - 3b² + 8a²b - 6ab
помогите пожалуйста срочно ​

Ответы

Ответ дал: Аноним
11

на фото ........................

Приложения:

bartolomeo4: правильно?
Аноним: да правильно.
Вас заинтересует