• Предмет: Математика
  • Автор: azz0556648244
  • Вопрос задан 8 лет назад

Помогите решить уравнения:
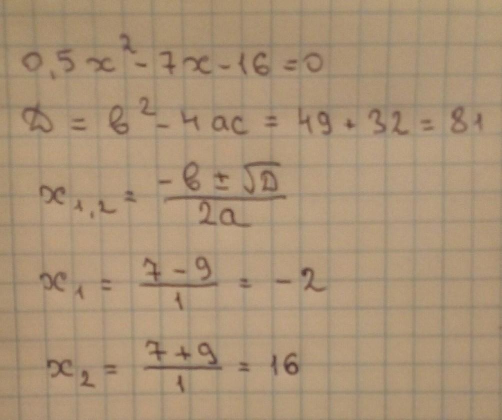
1. 0,5x²-7x-16=0
2. x²-17x-38=0​

Ответы

Ответ дал: ilonamiss13
1

Ответ:

Первое уровнение на фотографии, второе вот:

X² - 17х - 38=0

X1 + X2 = 17

х1 . х2 = - 38

Приложения:
Ответ дал: bahytgulkabylainova
0

Ответ:

см фото,,,,,,,, ,,,,,, ,,,,,,,,,,,,,

Приложения:
Вас заинтересует