• Предмет: Математика
  • Автор: 79860976668
  • Вопрос задан 7 лет назад

Знайдіть f(A), якщо:

Приложения:

Ответы

Ответ дал: dobra888
0

Ответ:   13 .    

Пошаговое объяснение:

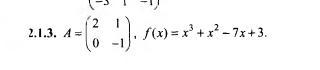
2.1.3 .    A = (  2   1  )   ,  f( x ) = x³ + x² - 7x + 3 ;    f( A )  -  ?

                   (  0 - 1  )  

   | A | = |  (  2   1  ) |  = 2 * ( - 1 ) - 0 * 1 = - 2 ;

             |  (  0 - 1  ) |  

  f( A ) = f( - 2 ) = (- 2 )³ + (- 2 )² - 7 * (- 2 ) + 3 = - 8 + 4 + 14 + 3 = 13 .

Вас заинтересует