• Предмет: Алгебра
  • Автор: Orevgest
  • Вопрос задан 8 лет назад

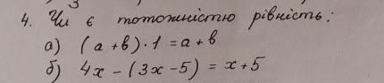
будь ласка швидко даю 15 балів

Приложения:

Ответы

Ответ дал: evgeniya1309
1

Объяснение:

надеюсь понятно написала

Приложения:

Orevgest: Спасіба бальшоє
Вас заинтересует