Ответы
Ответ дал:
0
Ответ:
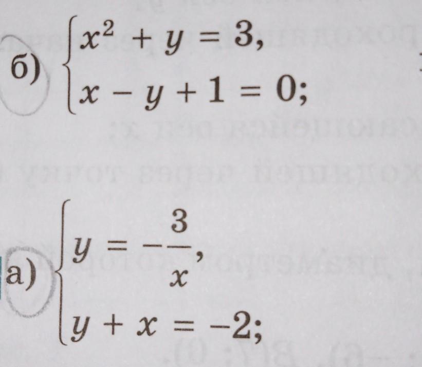
б) парабола
а) гипербола
Объяснение
Можешь скачать Photomath(помогает)
Приложения:


Вас заинтересует
2 года назад
2 года назад
3 года назад
3 года назад
8 лет назад
9 лет назад