Ответы
Ответ дал:
1
Ответ:
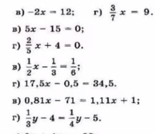
Ответ, решение, пояснение в фото.
Приложения:


Вас заинтересует
2 года назад
2 года назад
3 года назад
3 года назад
8 лет назад