• Предмет: Алгебра
  • Автор: mishasiryaev2007
  • Вопрос задан 7 лет назад

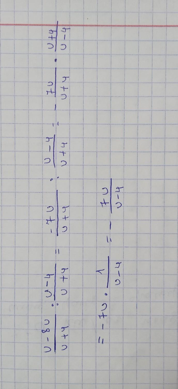
РЕШИТЕ ПОЖАЛУЙСТА!!! (u−8u/u+4):u−4/u+4

Ответы

Ответ дал: amal167
1

Ответ:

(u−8u/u+4):u−4/u+4 = 7u/u-4

Приложения:
Вас заинтересует