• Предмет: Алгебра
  • Автор: mihasuyldin
  • Вопрос задан 8 лет назад

Лёгкие 220б

У меня в профиле ещё 2 таких же вопроса по 100 баллов

Приложения:

Ответы

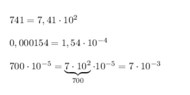
Ответ дал: Yasminbkm
0
ответ:
—————————————-
Приложения:
Вас заинтересует