• Предмет: Алгебра
  • Автор: Аноним
  • Вопрос задан 8 лет назад

Помогите, пожалуйста!
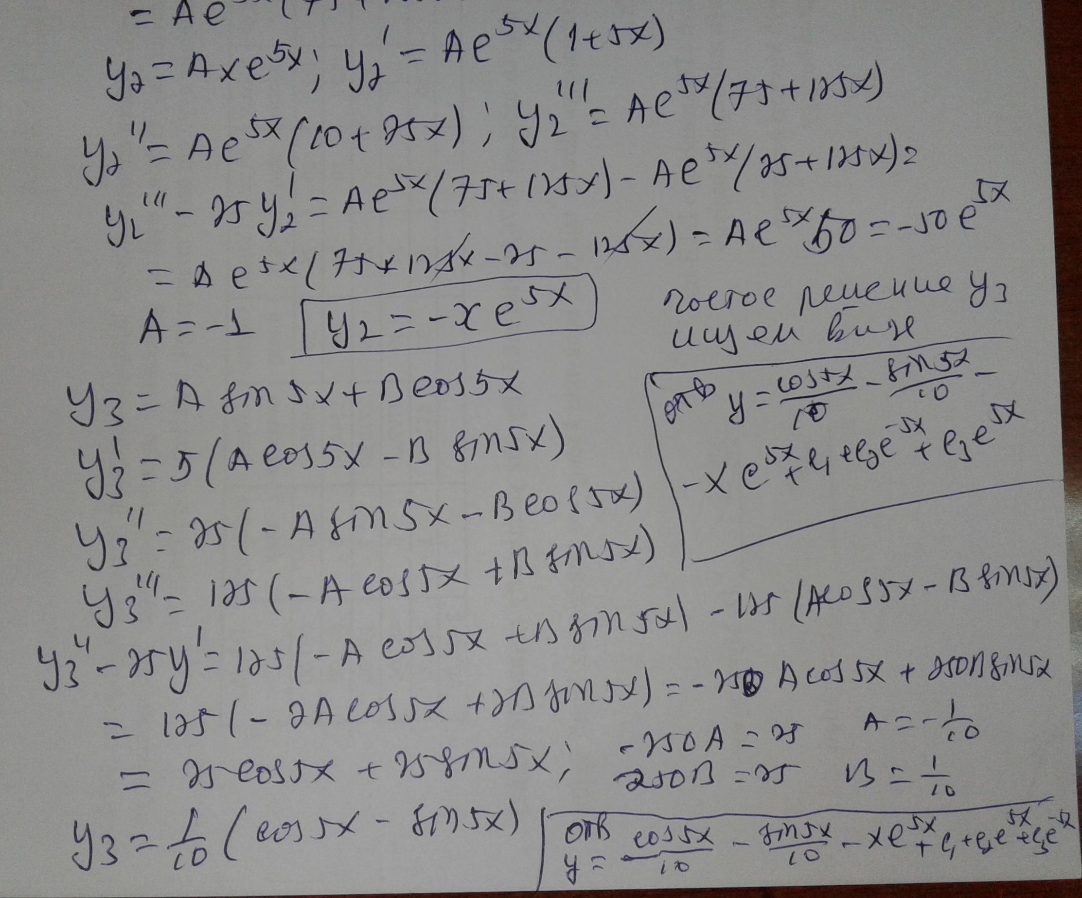
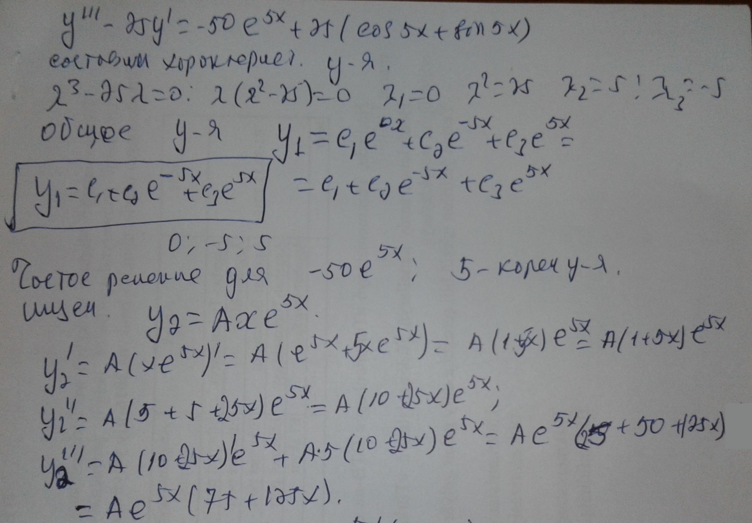
Найти общее решение дифференциального уравнения.

Приложения:

Ответы

Ответ дал: Matematiktm
1

Ответ:

Решено

Объяснение:

Приложения:

Аноним: можешь тут помочь?
пожалуйста!
https://znanija.com/task/46082480
Matematiktm: да можем :)
Вас заинтересует