• Предмет: Алгебра
  • Автор: Voronovm555
  • Вопрос задан 7 лет назад

Решите пожалуйста Срочно!!! есть фото​

Приложения:

Ответы

Ответ дал: ahsghs
0

Ответ:

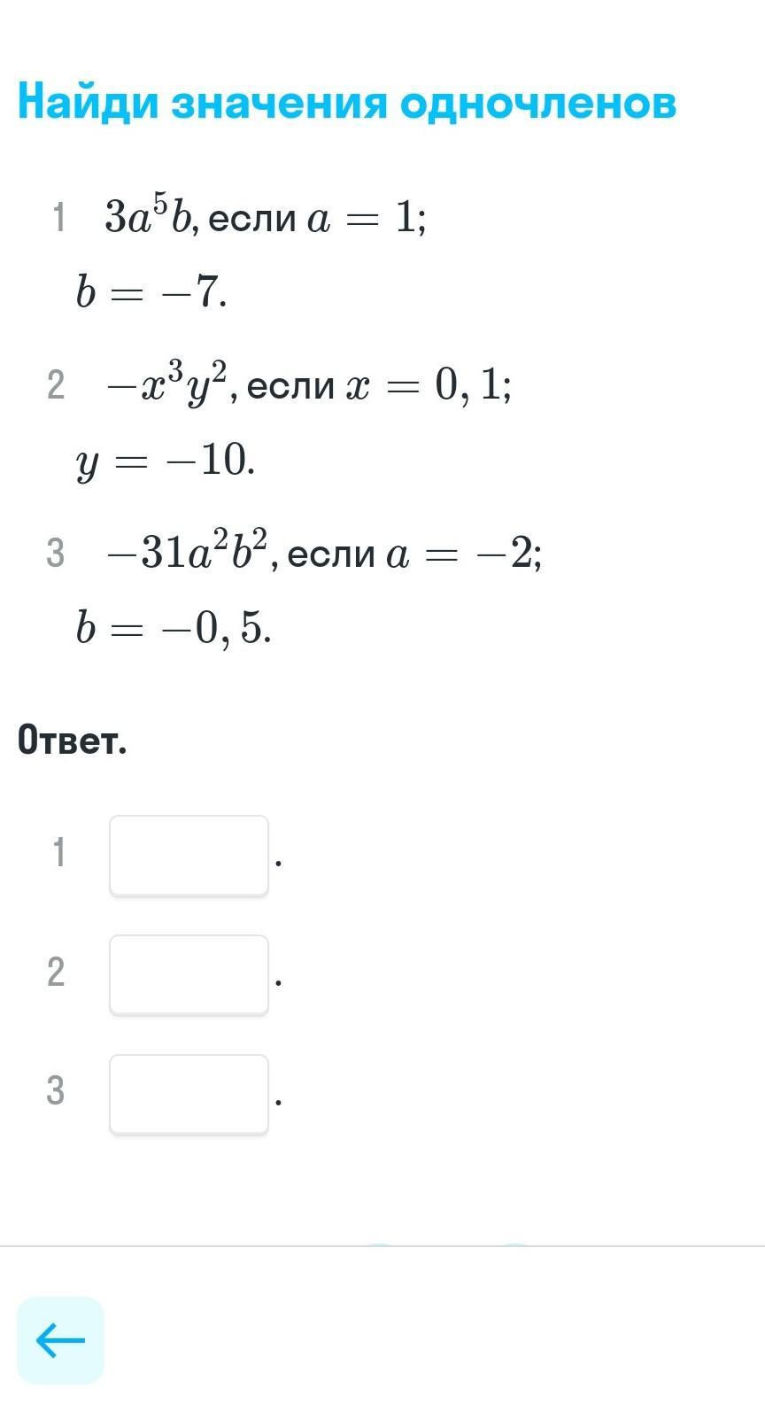
1. -21

2. -0.1

3. -31

Объяснение:

Вроде так

Ответ дал: toroonto
0

Ответ:

1) -21

2) -0.1

3) -31

Объяснение:

......................................

Вас заинтересует