• Предмет: Алгебра
  • Автор: vscacw
  • Вопрос задан 7 лет назад

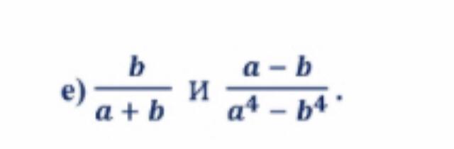
Привести дробь к общему знаменателю

Приложения:

Ответы

Ответ дал: Universalka
0

\dfrac{a-b}{a^{4}-b^{4}} =\dfrac{a-b}{(a^{2} +b^{2})(a^{2} -b^{2} ) } =\dfrac{a-b}{(a^{2}+b^{2} )(a-b)(a+b) } =\boxed{\dfrac{1}{(a^{2}+b{2})(a+b)}} \\\\\\\dfrac{b}{a+b} =\dfrac{b\cdot(a^{2} +b^{2}) }{(a+b)\cdot(a^{2}+b^{2} ) } =\boxed{\dfrac{b(a^{2} +b^{2} )}{(a^{2}+b^{2})(a+b)  } }


vscacw: Не видно полностью
Вас заинтересует