Ответы
Ответ дал:
1
Пошаговое объяснение:
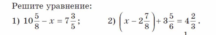
вот ответы и решение если
Приложения:

Ответ дал:
0
Ответ:13
2
Пошаговое объяснение:
Вас заинтересует
2 года назад
2 года назад
3 года назад
3 года назад