• Предмет: Алгебра
  • Автор: adely34
  • Вопрос задан 7 лет назад

решите пожалуйста
СРОЧНО!!!​

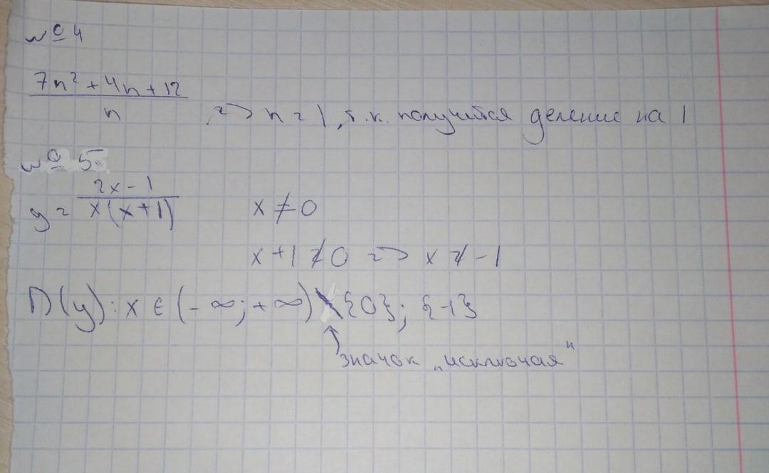
Приложения:

Ответы

Ответ дал: annitakila
1

Надеюсь, что будет всё понятно

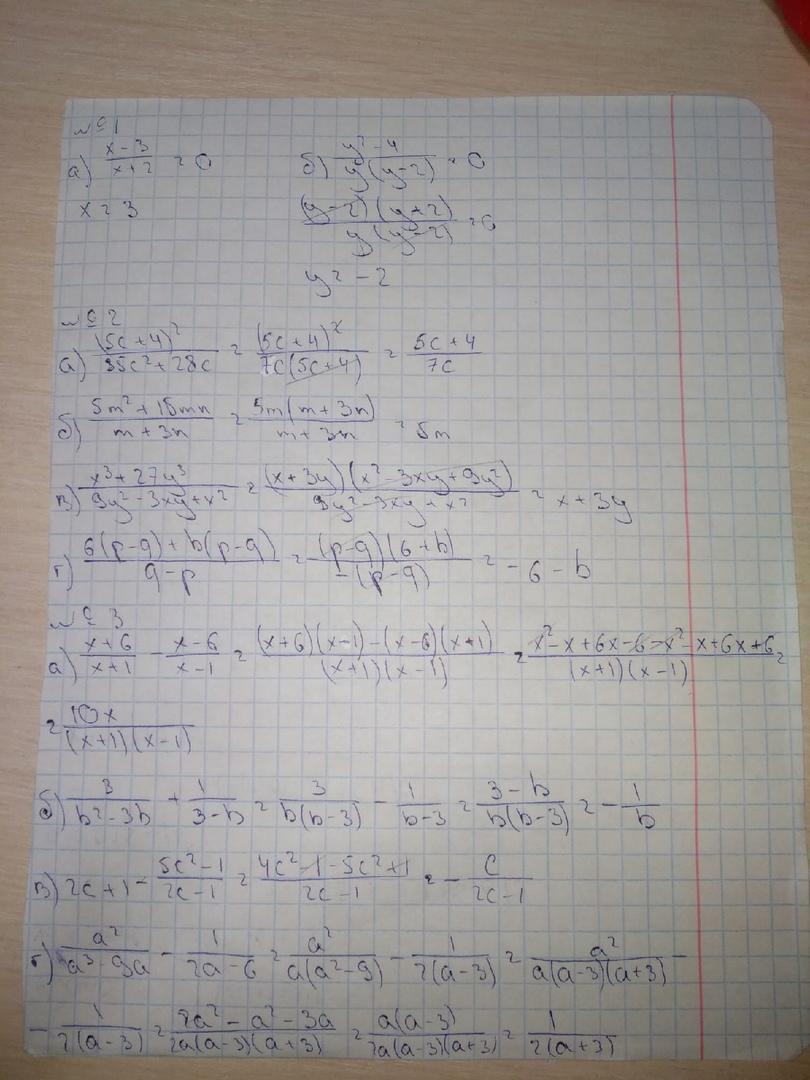
Приложения:

adely34: спасибо большое
adely34: спасибо огромное
Вас заинтересует