Ответы
Ответ дал:
0
A=41.580
B=7.722
B:A=41.580:7.722
B=7.722
B:A=41.580:7.722
Аноним:
А частное какое
Ответ дал:
1
Ответ:
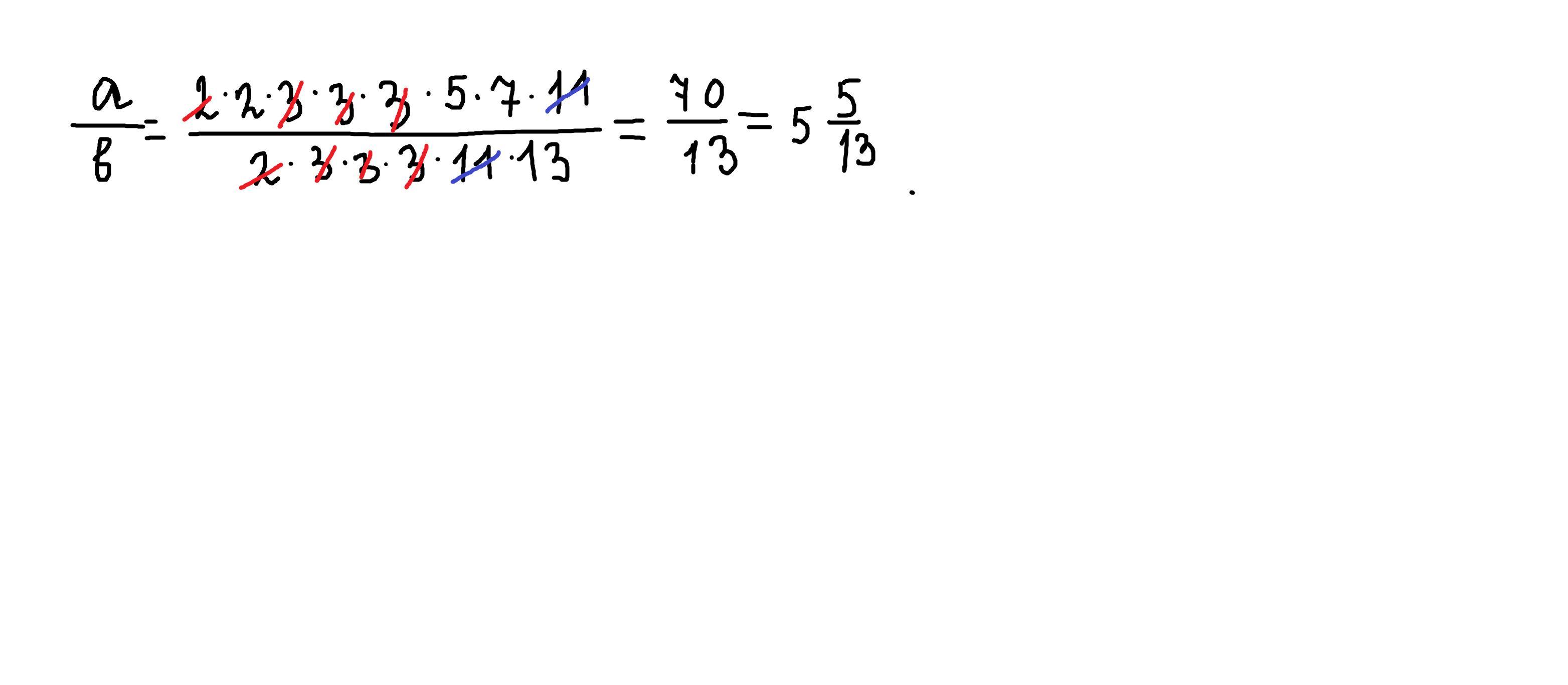
а\в=5 5\13
Пошаговое объяснение:
Приложения:

Вас заинтересует
2 года назад
2 года назад
3 года назад
3 года назад
8 лет назад
8 лет назад
9 лет назад