Ответы
Ответ дал:
0
Ответ:
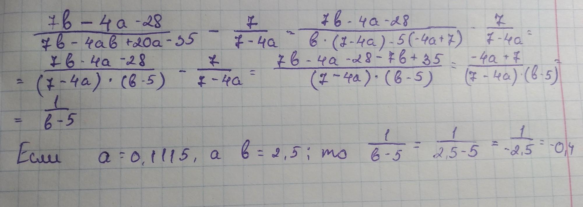
я вот только не знаю где "а" если в этом выражении в окончательном упрощении нет "а"
Приложения:

Вас заинтересует
2 года назад
3 года назад
3 года назад
8 лет назад
8 лет назад