• Предмет: Алгебра
  • Автор: kaixaнастя
  • Вопрос задан 8 лет назад

Спасите кто-нибудь. Бедные дети, как вы это решаете

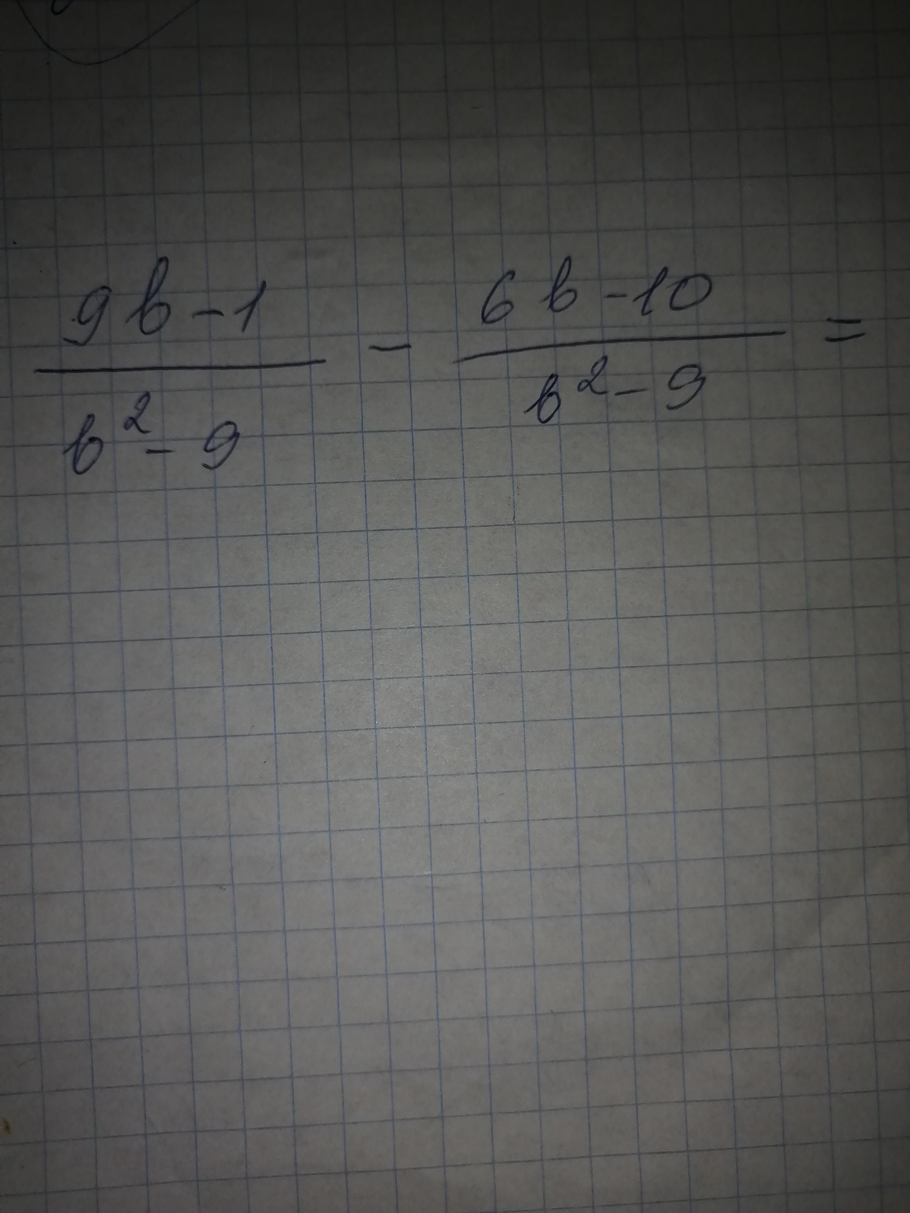
Приложения:

Ответы

Ответ дал: ekaterinalobova2401
2

Объяснение:

дмьщь ьвллалашмщаьалаллвлв

Приложения:

kaixaнастя: Дети... Дай Бог вам всем здоровья, терпения и отличных оценок ‍♀️ Спасли мою седую голову
Ответ дал: prpr5611
0

Ответ:

3b+9/(b-3)(b+3)

3(b-3)/(b-3)(b+3)

3/(b+3)

Вас заинтересует