• Предмет: Алгебра
  • Автор: PatrickYT
  • Вопрос задан 7 лет назад

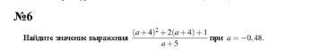
Помогите пожалуйста как на фото с заданием!

Приложения:

Ответы

Ответ дал: butayeyyubov85
1

Объяснение:

a²+8a+16+2a+8+1/a+5=a²+10a+25/a+5

(a+5)²/a+5=a+5


butayeyyubov85: -0,48+5=4,52
butayeyyubov85: я забыл об этом
Вас заинтересует