• Предмет: Алгебра
  • Автор: Аноним
  • Вопрос задан 7 лет назад

Помогите, пожалуйста!
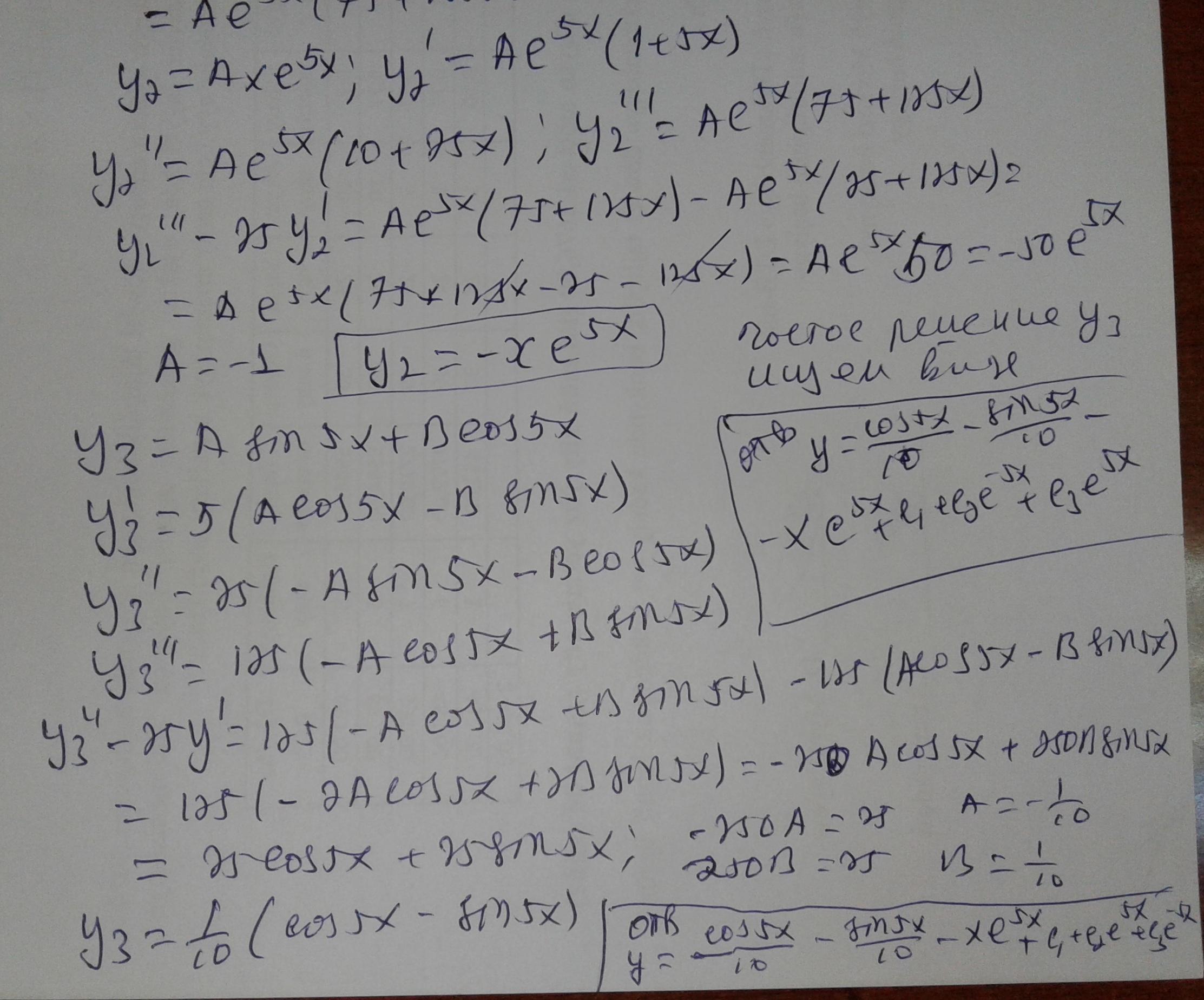
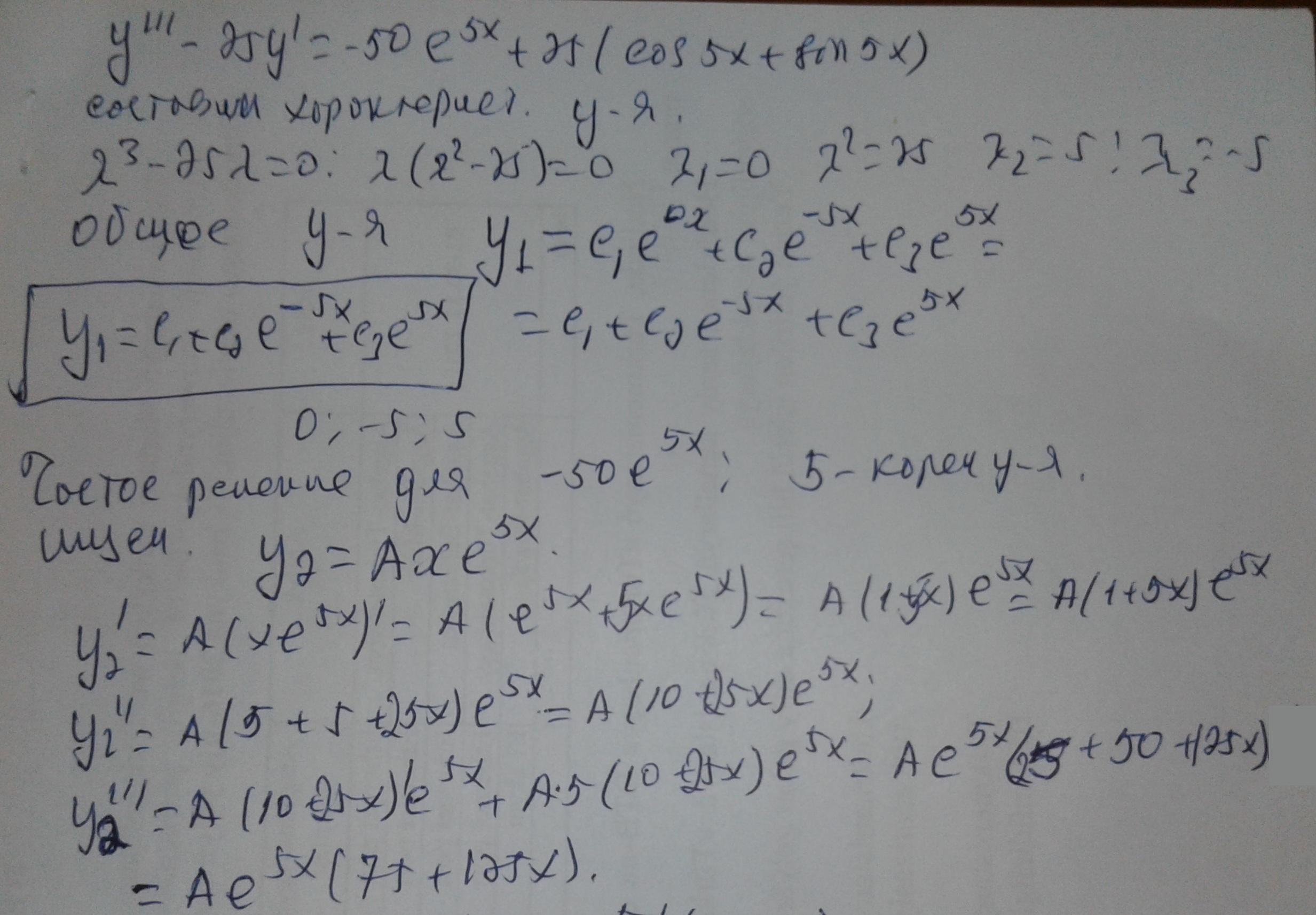
Найти общее решение дифференциального уравнения.

Приложения:

Ответы

Ответ дал: Matematiktm
1

Ответ:

Resheno

Объяснение:

Приложения:
Вас заинтересует