• Предмет: Алгебра
  • Автор: aleksandrarabkina376
  • Вопрос задан 8 лет назад

срочно помогите пожалуйста!!!
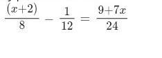
Решите уровнение:​

Приложения:

Ответы

Ответ дал: elenacybulina68
0

Ответ:

нам надо избавиться от знаменателя. Умножим обе части на 24

24×(x+2) /8-24×(1/12) /12=24×(9+7х) /24

теперь сократим 24 и 8 ; 24 и 12; 24 и 24

остается

3(x+2)-2=9+7x

3x+6-2=9+7x

3x+4=9+7x

3x-7x=9-4

-4x=5

x=-5/4=-1 1/4

если нужно решать такие уравнения, то смотри на больший знаменатель и умнажай на него. Так ты избавляешься от него. здесь 24 в дроби .

Вас заинтересует