Ответы
Ответ дал:
0
Ответ:
.
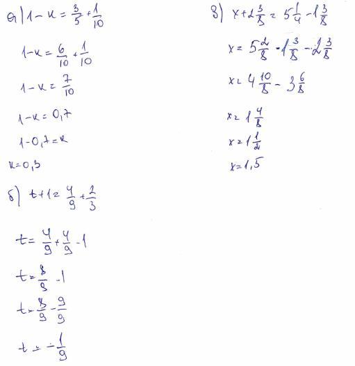
Пошаговое объяснение:
Вроде сделала правильно.
Приложения:

Ответ дал:
0
Ответ:
ответ во вложении
Пошаговое объяснение:
Приложения:

Вас заинтересует
2 года назад
3 года назад
3 года назад
8 лет назад
8 лет назад
9 лет назад