• Предмет: Алгебра
  • Автор: sehzodneutemov
  • Вопрос задан 7 лет назад

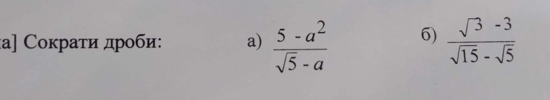
сократи дроби пж пж пж​

Приложения:

Ответы

Ответ дал: NNNLLL54
1

Ответ:

\displaystyle \frac{5-a^2}{\sqrt5-a}=\frac{(\sqrt5-a)(\sqrt5+a)}{\sqrt5-a}=\sqrt5+a\\\\\\\frac{\sqrt3-3}{\sqrt{15}-\sqrt5}=\frac{\sqrt3\cdot (1-\sqrt3)}{\sqrt5\cdot (\sqrt3-1)}=\frac{-\sqrt3\cdot (\sqrt3-1)}{\sqrt5\cdot (\sqrt3-1)}=-\frac{\sqrt3}{\sqrt5}=-\sqrt{\frac{3}{5}}

Ответ дал: Universalka
1

1) \ \dfrac{5-a^{2} }{\sqrt{5} -a} =\dfrac{(\sqrt{5})^{2}-a^{2} }{\sqrt{5} -a} =\dfrac{(\sqrt{5} -a)(\sqrt{5} +a)}{\sqrt{5}-a } =\boxed{\sqrt{5} +a}\\\\\\2) \ \dfrac{\sqrt{3} -3}{\sqrt{15} -\sqrt{5} } = \dfrac{\sqrt{3} -(\sqrt{3} )^{2} }{\sqrt{5\cdot3} -\sqrt{5} } =\dfrac{\sqrt{3} (1-\sqrt{3} )}{\sqrt{5}(\sqrt{3} -1) }= -\dfrac{\sqrt{3} (1-\sqrt{3} )}{\sqrt{5}(1-\sqrt{3} ) }=\\\\\\=-\dfrac{\sqrt{3} }{\sqrt{5} } =-\dfrac{\sqrt{3} \cdot\sqrt{5} }{\sqrt{5}\cdot\sqrt{5}} =\boxed{-\dfrac{\sqrt{15} }{5} }


LordLuntik: Можете, пожалуйста, помочь мне с этим же предметом?
LordLuntik: Даю много баллов
LordLuntik: Вот ссылки: https://znanija.com/task/46044638, https://znanija.com/task/46044807
Вас заинтересует