• Предмет: Алгебра
  • Автор: froda777888
  • Вопрос задан 7 лет назад

Срочно помогите решить

Приложения:

Ответы

Ответ дал: wieslawlozickip5w1nd
0

Ответ:

Объяснение:

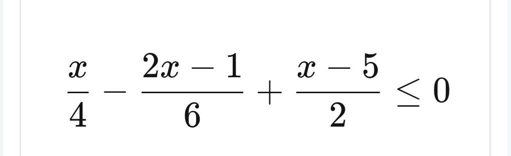
x/4 –(2x-1)/6 + (x-5)/2 ≤ 0  || *12

3x-2(2x-1)+6(x-5)≤0

3x-4x+2+6x-30≤0

5x≤28  || : 5

x≤28/5

x≤5,6

x e [-∞;5,6]

Вас заинтересует