• Предмет: Алгебра
  • Автор: dimasto40817
  • Вопрос задан 8 лет назад

3 пж очень срочно очень​

Приложения:

Ответы

Ответ дал: AiMus
0

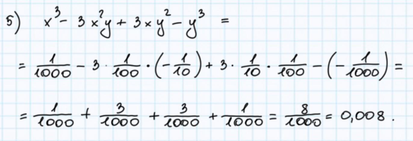
Ответ:

0,008

Объяснение:

Приложения:
Ответ дал: mashamariagggg
0

Ответ:

Объяснение:

Номера 3,2,1

Приложения:
Вас заинтересует