• Предмет: Математика
  • Автор: darisshhaa
  • Вопрос задан 7 лет назад

Монеты бывают номиналов 50

копеек, 1

рубль, 2

рубля, 5

рублей, 10

рублей. В кошельке лежит несколько монет. Известно, что какие бы 26
монет ни вытащить из кошелька, среди них будет хотя бы одна рублевая, хотя бы одна пятирублевая и хотя бы одна десятирублевая. При каком наибольшем количестве монет в кошельке такое возможно?

Ответы

Ответ дал: kukubumbum
0

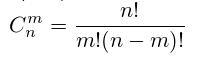
Ответ:

Это называется сочетанием - порядок не важен.

Для нас 1 2 5 это тоже самое что и 5 2 1.

Если бы это было важно, то это называлось бы размещением.

n = 4 (всего монет), m = 3 (хотим достать)

= 4-мя способами.

В этом случае варианты можно перебрать вручную, их всего 4:

1 2 5

1 2 10

2 5 10

1 5 10

Пошаговое объяснение:

Приложения:

polinka7011: какой ответ?
Вас заинтересует