Ответы
Ответ дал:
1
Ответ:
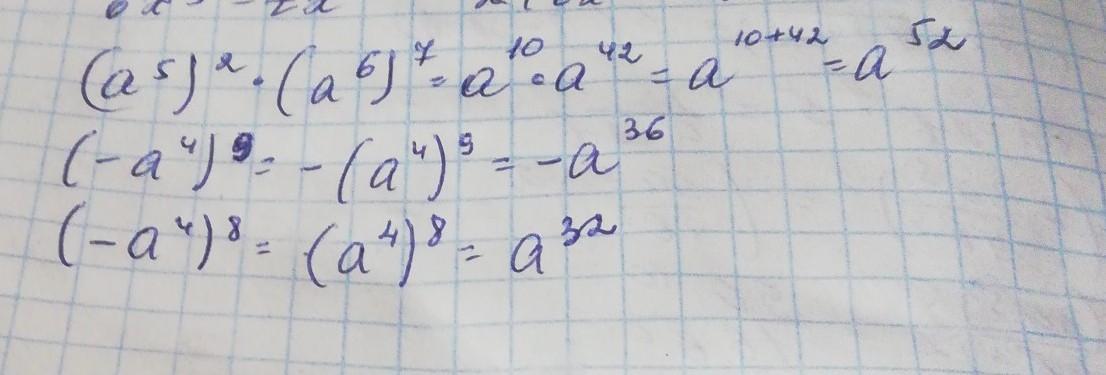
Смотри решение на фото ниже
Приложения:

larisaserova53:
я, написала подробно, но можете написать только ответ
Вас заинтересует
3 года назад
8 лет назад
8 лет назад
9 лет назад
9 лет назад