• Предмет: Математика
  • Автор: zazalajz
  • Вопрос задан 7 лет назад

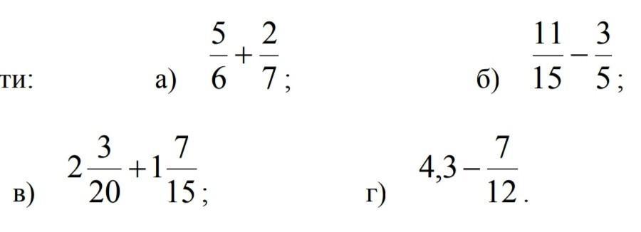
помогите решить!!!!!​

Приложения:

Ответы

Ответ дал: sofa742
0

А)

 \frac{47}{42}  = 1 \frac{5}{42}

Б)

 \frac{2}{15}

В)

3 \frac{37}{60}

Г)

3 \frac{43}{60}

Вас заинтересует