• Предмет: Математика
  • Автор: Trenton15
  • Вопрос задан 7 лет назад

Найдите частные решения уравнений:
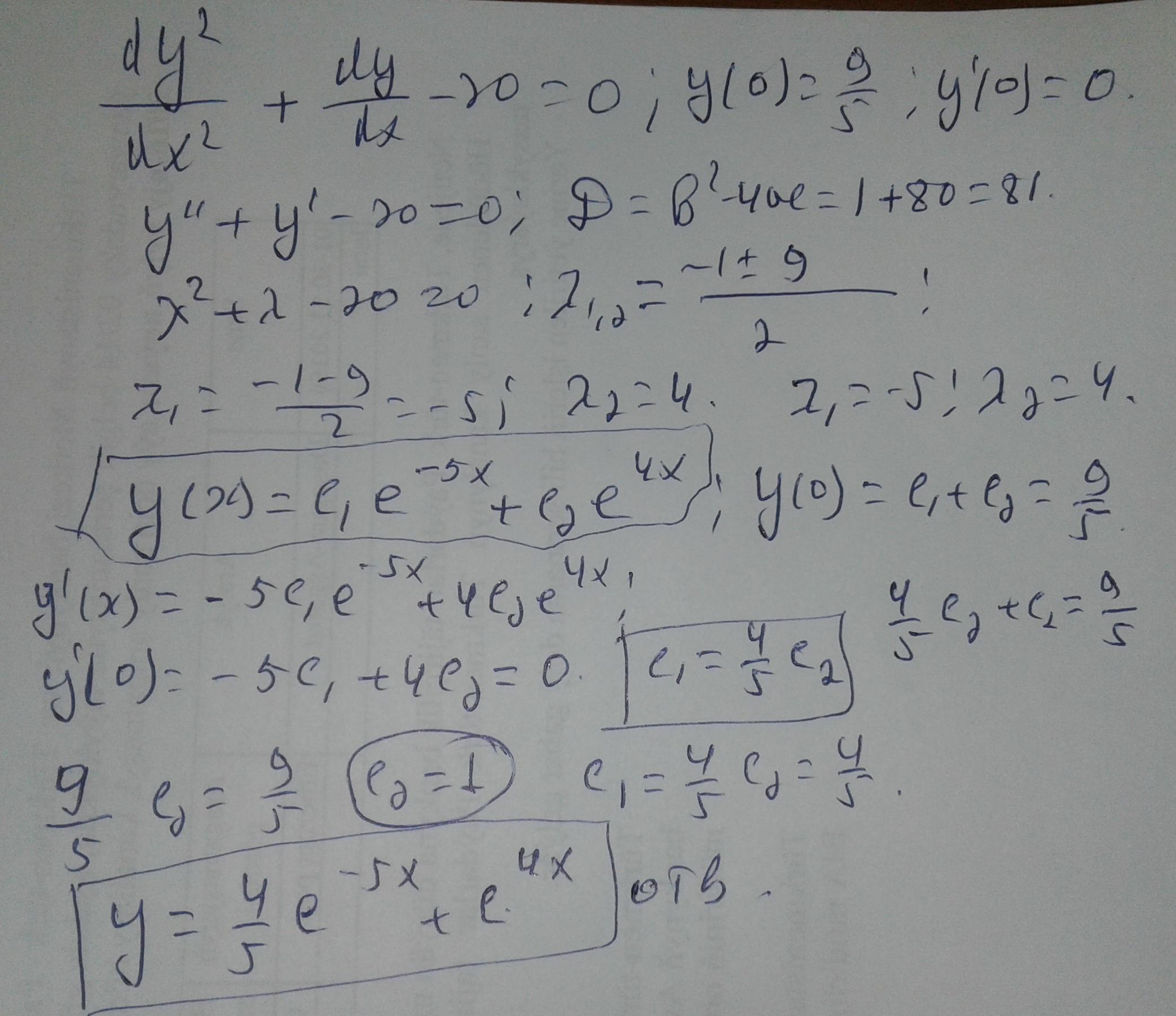
d^2 y/dx^2 + dy/dx -20 = 0; y = 9/5 и dy/dx = 0 при x =0.

Ответы

Ответ дал: Matematiktm
1

Ответ:

Resheno

Пошаговое объяснение:

Приложения:

Trenton15: Спасибо огромное! Не могли бы вы помочь с еще двумя примерами? Задание то же самое. https://znanija.com/task/46049393 https://znanija.com/task/46049309
Matematiktm: Решено
Вас заинтересует