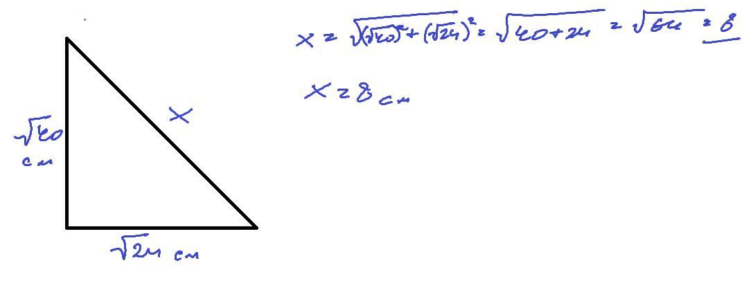
Знайти гіпотенузу трикутника з катетами 40 см і 24 см.
fohtaho:
*корень из 40 и корень из 24
Пересмотрите решение
Ответы
Ответ дал:
2
Ответ:
Фото
Объяснение:
Приложения:
Ответ дал:
2
По теореме Пифагора: c²=a²+b²; c=√(a²+b²); c=√((√40)²+(√24)²); c=√(40+24); c=√64; c=8 см – это ответ.
В комментариях к вопросу автор изменил условие.
Вас заинтересует
2 года назад
2 года назад
3 года назад
3 года назад
9 лет назад
9 лет назад
10 лет назад
10 лет назад