• Предмет: Физика
  • Автор: smilemayatv
  • Вопрос задан 8 лет назад

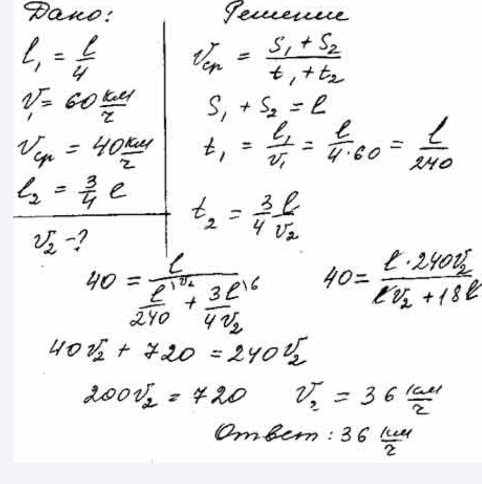
с.10. первую четверть своего пути поезд прошел со скоростью 60 км/ч. Его средняя скорость на всем пути составила 40 км/ч определите скорость поезда на оставшейся части пути
БЫСТРЕЕ

Ответы

Ответ дал: red372
1
Поучатся как то так
Приложения:
Ответ дал: lena48844
0

Ответ:

Вроде бы вторая часть пути 20 км.

Объяснение:

Это потому,что средняя скорость это сумма,поделенная на два(не факт,что правильно)

Вас заинтересует