• Предмет: Физика
  • Автор: dahsaskorynina
  • Вопрос задан 8 лет назад

помогите!!! Дам 50 быллов​

Приложения:

Ответы

Ответ дал: skala
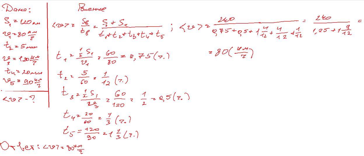
1

Ответ:

Фото

Объяснение:

Приложения:

dahsaskorynina: спасибо!!!
Вас заинтересует