• Предмет: Математика
  • Автор: vasilyaangel27
  • Вопрос задан 8 лет назад

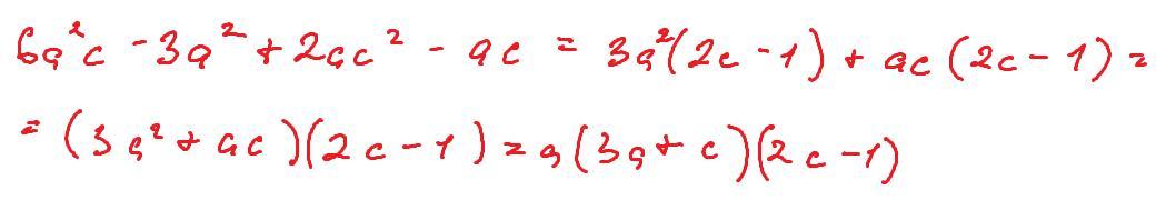
Разложите многочлен на множители: 6a2c – 3a2 + 2ac2 – ac

Ответы

Ответ дал: skala
2

Ответ:

Пошаговое объяснение:

Приложения:
Вас заинтересует