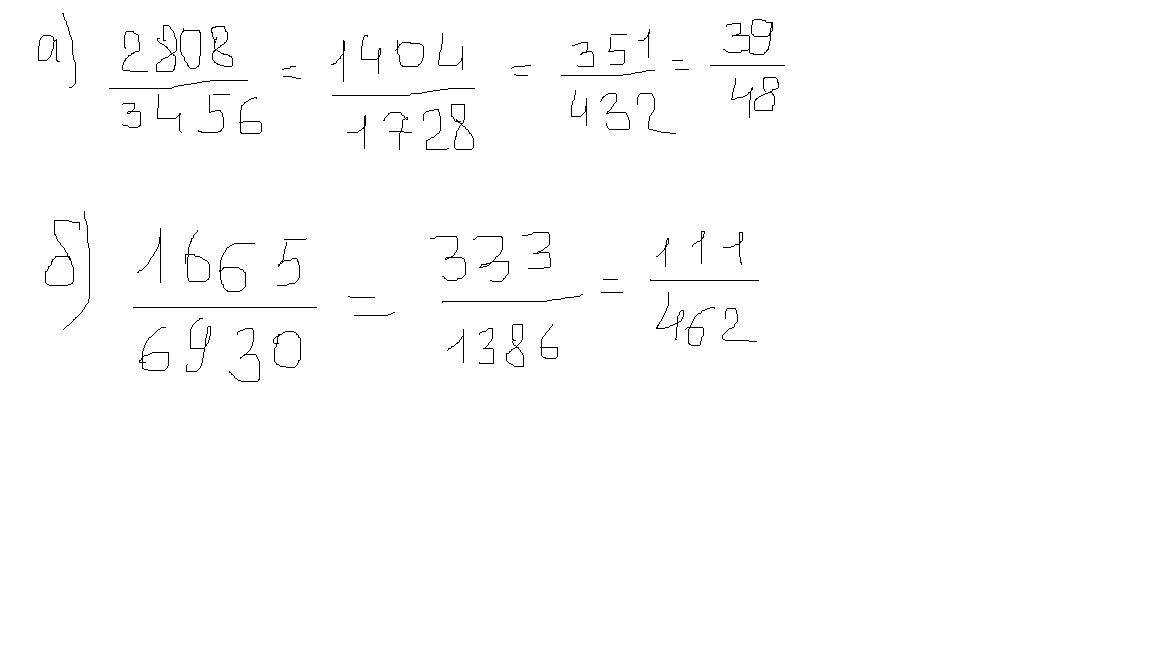
используя признаки делимости, докажите, что дробь можно сократить и выполните сокрощение а) 2808_3456, б)1665_6930
Ответы
Ответ дал:
0
может и ещё можно сократить, но я чёт не соображаю...
Приложения:

Вас заинтересует
2 года назад
2 года назад
8 лет назад
10 лет назад
10 лет назад
10 лет назад