• Предмет: Математика
  • Автор: ks8036710
  • Вопрос задан 7 лет назад

помогите!!!!!!!!!!срочноооооооо​

Приложения:

Ответы

Ответ дал: dddmuhamedzanova103
1

Ответ:

6,12366273737373366363

Ответ дал: accinternet
1

Ответ:

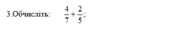
4⁵/7⁵+2⁷/5⁷=20/35+14/35=34/35

Пошаговое объяснение:

<3

Вас заинтересует