• Предмет: Математика
  • Автор: darakolesova23
  • Вопрос задан 8 лет назад

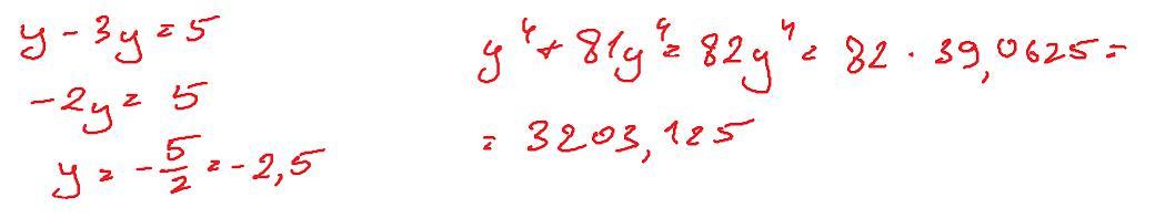
Действительное число y таково, что y−3y=5. Чему равно y4+81y4?​

Ответы

Ответ дал: skala
1

Ответ:

Фото

Пошаговое объяснение:

Приложения:

vasilijavtomatov: чел та 81 и y это дробь и 3 и у тоже
Вас заинтересует