• Предмет: Математика
  • Автор: Pavelchern0
  • Вопрос задан 8 лет назад

Решите пожалуйста уравнение
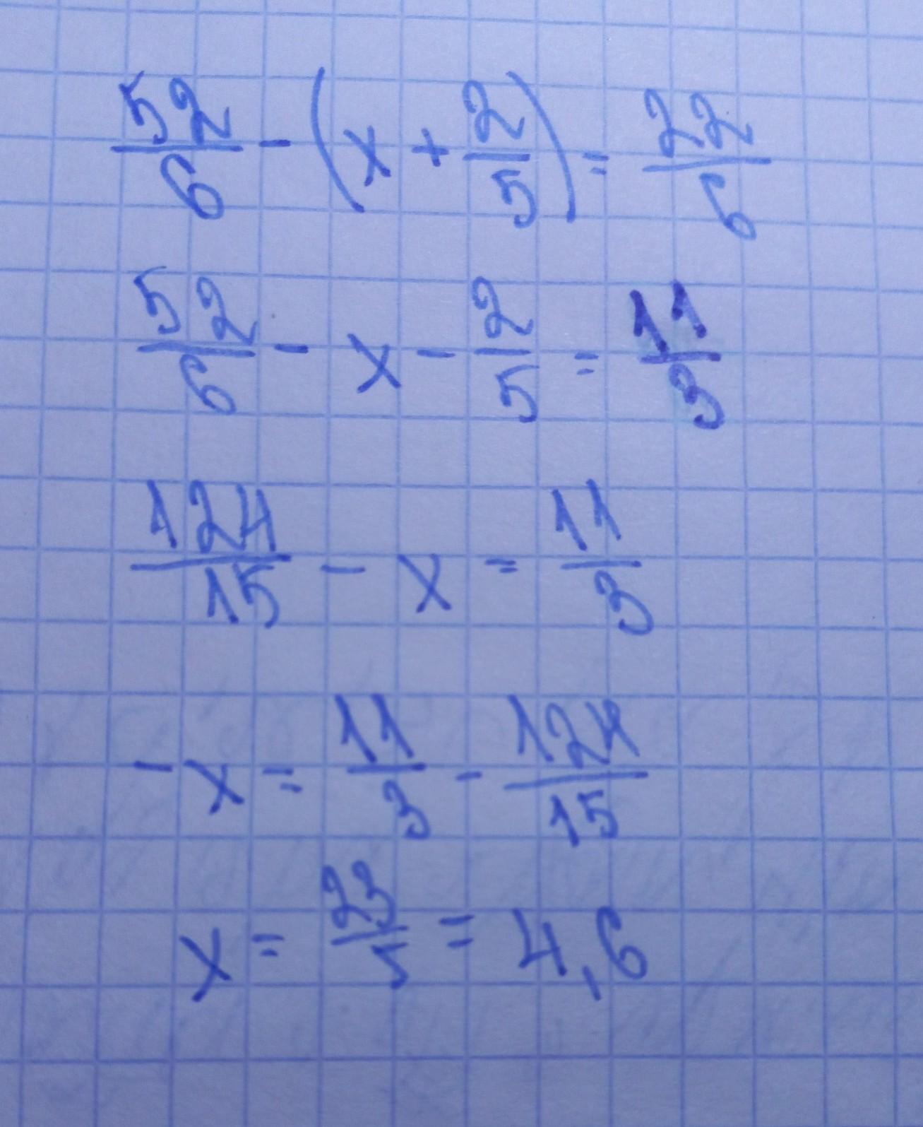
5 2/6 - ( x + 2/5) = 2 2/6

Ответы

Ответ дал: ashkamango
1

Ответ:

решение на фото. надеюсь правильно понял запись.

Приложения:

Pavelchern0: спасибо
Вас заинтересует