• Предмет: Математика
  • Автор: Markwotser
  • Вопрос задан 8 лет назад

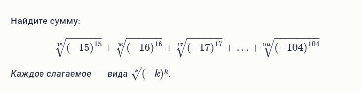
помогите 100 баллов даю

Приложения:

Ответы

Ответ дал: ksuuuun4ik
0

Ответ:

врун 5 баллов только, пока...

Вас заинтересует