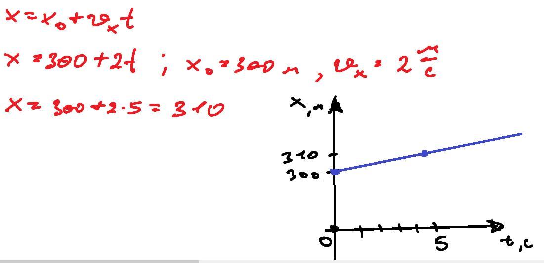
Дано уравнение движения x=300+2t, принимая t как 5с. нарисуйте график зависимости координаты от времени, при этом найдя координату, начальную координату и скорость.
Ответы
Ответ дал:
1
Ответ:
Фото
Объяснение:
Приложения:

Waymoon:
лучший, спасибо
Вас заинтересует
2 года назад
2 года назад
3 года назад
3 года назад
8 лет назад
8 лет назад