найдите значение выражения:(a + b)+ c если:
Приложения:

YoungGriff:
4 5/24
Ответы
Ответ дал:
0
Ответ:
81
-----
24
Пошаговое объяснение:
19+21 40
a=2*8+3=19 a+b=8 4=12
8 40+41 81
( a+b)+c=12+12= 24
b=5*4+1=21
4
c=3*12+5=41
12
Ответ дал:
1
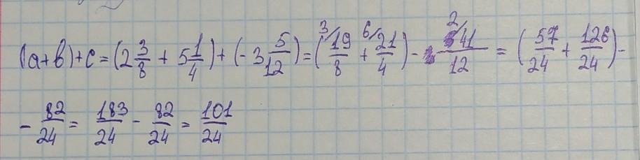
вот решение ↑ вроде правильно
Приложения:

Вас заинтересует
2 года назад
2 года назад
3 года назад
8 лет назад