• Предмет: Математика
  • Автор: Lerka770077
  • Вопрос задан 11 лет назад

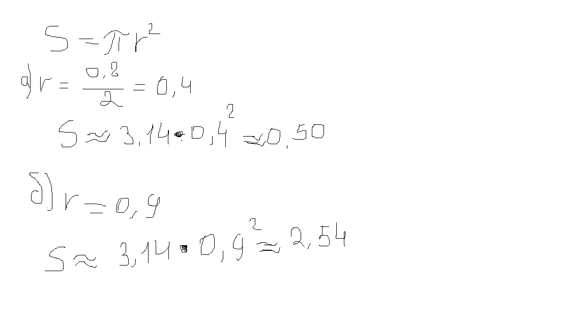
Найдите площадь круга, если его диаметр равен:
0,8 см и 1,8 м

Ответы

Ответ дал: Белатри
0
...по моему верно....


Приложения:
Вас заинтересует