• Предмет: Алгебра
  • Автор: vlasovaaruna2001
  • Вопрос задан 8 лет назад

Помогите пжлста плачу 20 ​

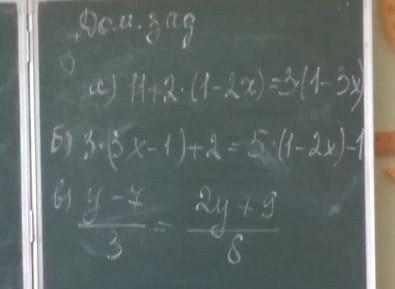
Приложения:

Ответы

Ответ дал: polina73312
1

Ответ:

a)11+2-4x=3-9x

5x=3-11-2

5x=-10

x=-2

б)9х-3+2=5-10х-1

19х=5

х=0,26


vlasovaaruna2001: б в можешь сделать?
polina73312: могу
vlasovaaruna2001: сделай пожалуйста
vlasovaaruna2001: а В сделаешь?
Вас заинтересует