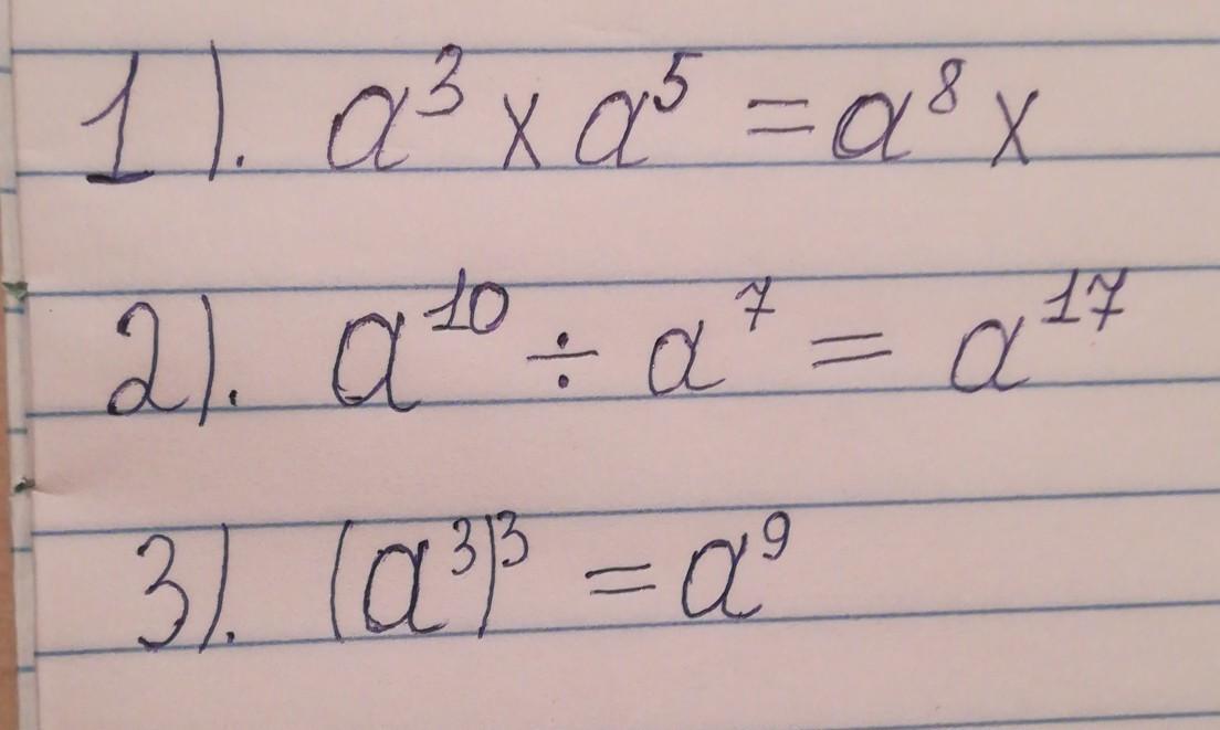
Подайте у вигляді степеня з
основою а вираз:
1) a³ × a⁵ ;
2) a¹⁰ ÷ a⁷ ;
3) (a³)³ .
pittie:
1. a^8
Ответы
Ответ дал:
3
1. a^8
2. a^3
3.a^9
^ этот значок типо в степени
Ответ дал:
2
Объяснение:
Я незнаю Правильно или нет
Приложения:

Вас заинтересует
2 года назад
2 года назад
3 года назад
8 лет назад
9 лет назад