вычисли значение числового выражения 1:(-1/5) во 2 степени(если не понятно посмотрите скрин)
Приложения:

Ответы
Ответ дал:
2
Ответ:
Объяснение:
Ответ дал:
0
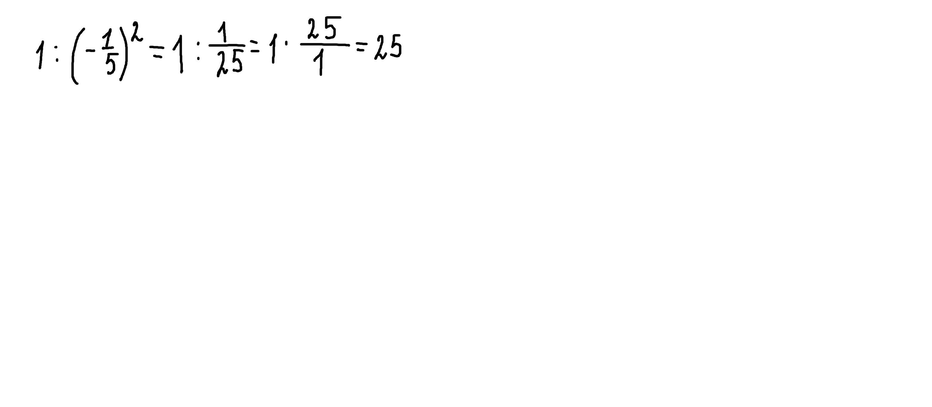
Ответ:
25
Объяснение:
решение внизу
Приложения:

Вас заинтересует
3 года назад
3 года назад
9 лет назад