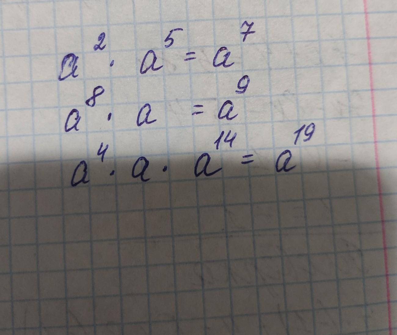
Замініть зірочку степени з основною а так , щоб рівність стала тотожністю:
1)а²· *=а⁷
2)а⁸·*=а⁹
3)а⁴·а·*=а¹⁹
Ответы
Ответ дал:
1
Объяснение:
отметь пожалуйста как лучший ответ если помогла
Приложения:

Ответ дал:
0
1)а в степені 5;2)просто а;3)а в степені 15
Вас заинтересует
2 года назад
2 года назад
3 года назад
9 лет назад