• Предмет: Математика
  • Автор: zheca0pop
  • Вопрос задан 7 лет назад

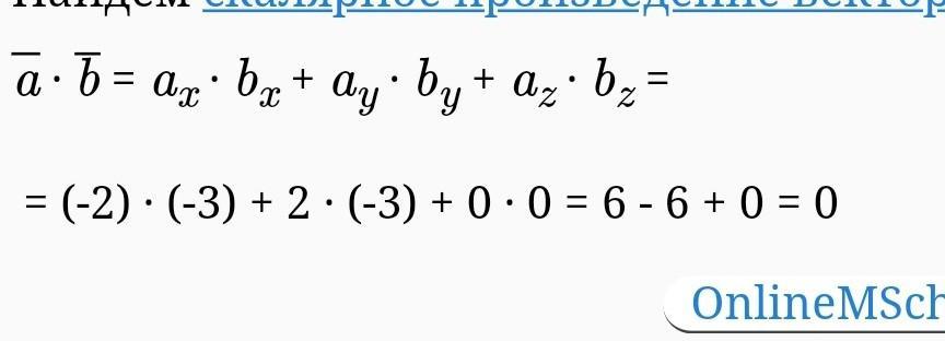
найдите скалярное произведение векторов а и б если а (-2; 2), б(- 3;-1)

Приложения:

Ответы

Ответ дал: annapolkovnikova055
0

.........................

Приложения:
Вас заинтересует