• Предмет: Алгебра
  • Автор: rauankop
  • Вопрос задан 8 лет назад

дам все мой 30 баллов помогите пожалуйста

Приложения:

Ответы

Ответ дал: larisaserova53
0

Ответ:

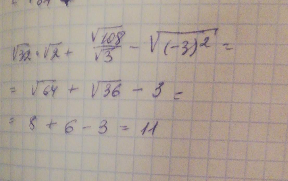
Смотри решение на фото ниже

Приложения:
Ответ дал: sangers1959
1

Объяснение:

\sqrt{32}*\sqrt{2}  +\frac{\sqrt{108} }{\sqrt{3} } -\sqrt{(-3)^2}=\sqrt{32*2}+\sqrt{\frac{108}{3} }-|-3|=\\=\sqrt{64} +\sqrt{36} -3=8+6-3=11.

Вас заинтересует