Ответы
Ответ дал:
2
Ответ:
Приложения:

Ответ дал:
1
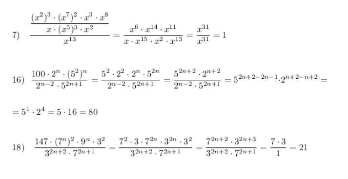
Объяснение:
Вас заинтересует
2 года назад
2 года назад
3 года назад
3 года назад
8 лет назад
9 лет назад