• Предмет: Математика
  • Автор: bagacomkz
  • Вопрос задан 8 лет назад

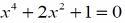
Найти корни многочлена на множестве комплексных чисел

Приложения:

Ответы

Ответ дал: tokmachevasofa
0

Ответ:3456

Пошаговое объяснение:

Вас заинтересует