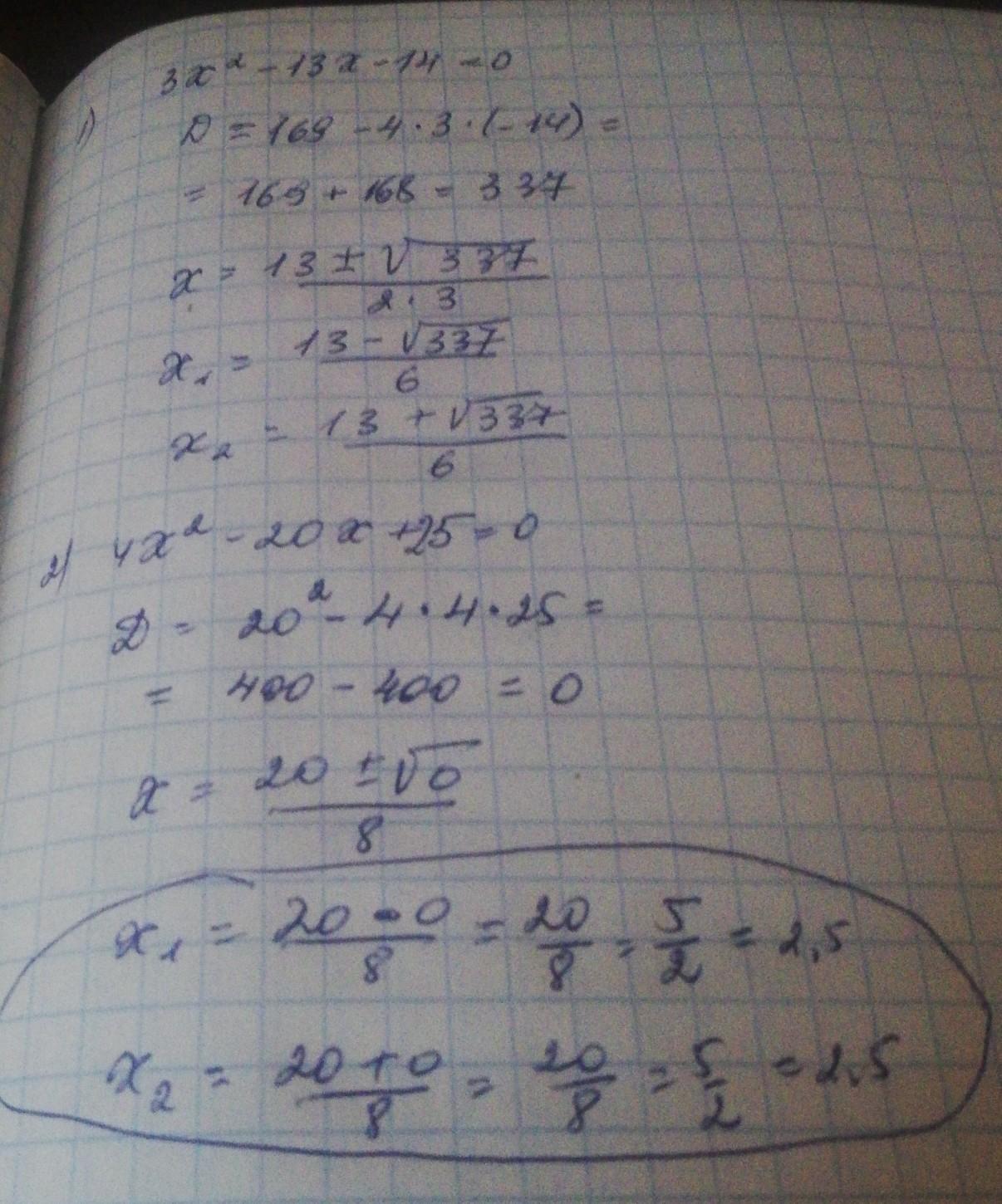
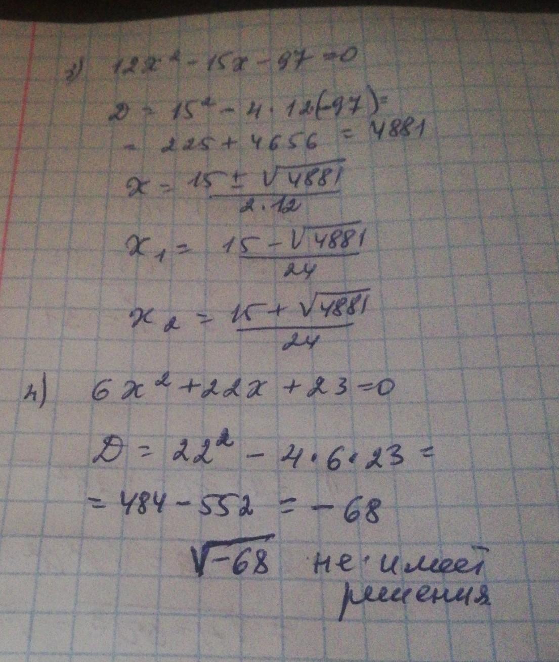
1. Укажите квадратный трехчлен, который имеет два оди-
наковых корня.
1) 3x2 -13x-14
2) 4x2 - 20x+ 25
3) 12x2 -15x-97
4) 6x2 +22x+23
пожалуйста помогите!!!прошу с решением
Приложения:

Ответы
Ответ дал:
0
Ответ:
Смотри решение на фото ниже
Приложения:


Вас заинтересует
2 года назад
3 года назад
3 года назад
8 лет назад