Ответы
Ответ дал:
0
Ответ:
b^12, -b^12, b^9, b^20, b^42, b^32, b^26, b^31, b^6
Объяснение:
этт первый номер полностью. но все таки лучше еще сам посмотри,но это вроде правильно, я эту тему проходила уже
Ответ дал:
0
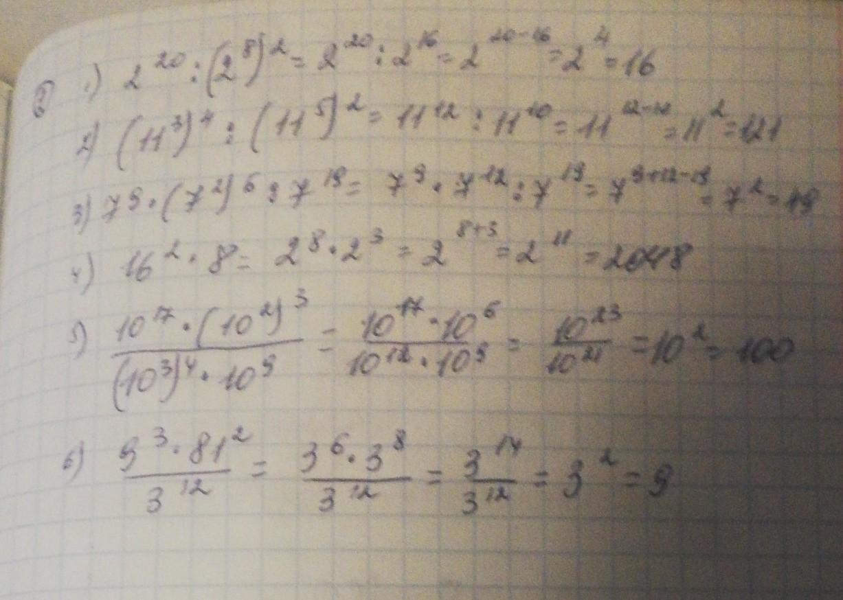
Ответ:
Смотри решение на фото ниже
Приложения:


larisaserova53:
Нормально видно?
Вас заинтересует
2 года назад
2 года назад
3 года назад
8 лет назад
8 лет назад
9 лет назад