Помогите пожалуйста!!! Как возвести 3 в степень -2! Нужно не просто посчитать (это и на калькуляторе можно), а помогите именно понять, как решать чтобы получить ответ, т.е. Пишите все подробно!!! И если можно еще число 1/4 в степени -3!
Спасибо!!!
Ответы
Ответ дал:
0
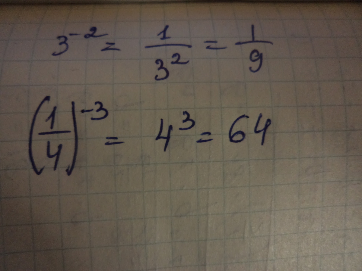
решение во вложенииииииииииииииииииииииииии
Приложения:

Ответ дал:
0
большое спасибо! а если 2/3??
Ответ дал:
0
кубический корень из числа в квадрате
Ответ дал:
0
отрицательная степень числа это надо число x представить в виде дроби 1/x и возвести уже в положительную степень

---------------------------
![x^{m/n}= sqrt[n]{x^m} \ x^{2/3}= sqrt[3]{x^2} x^{m/n}= sqrt[n]{x^m} \ x^{2/3}= sqrt[3]{x^2}](https://tex.z-dn.net/?f=x%5E%7Bm%2Fn%7D%3D+sqrt%5Bn%5D%7Bx%5Em%7D+%5C++x%5E%7B2%2F3%7D%3D+sqrt%5B3%5D%7Bx%5E2%7D+)
---------------------------
Приложения:

Ответ дал:
0
это Wowwwwwww!!!!
Вас заинтересует
2 года назад
8 лет назад
8 лет назад
10 лет назад
10 лет назад